断裂带中方解石脉显微结构、地球化学和年代学研究: 藏南亚东裂谷带古地震记录

李春锐, 李海兵, 潘家伟, 刘栋梁, 白明坤, 刘富财, 张进江. 2021. 断裂带中方解石脉显微结构、地球化学和年代学研究: 藏南亚东裂谷带古地震记录. 岩石学报, 37(10): 3185-3203. doi: 10.18654/1000-0569/2021.10.13
引用本文: 李春锐, 李海兵, 潘家伟, 刘栋梁, 白明坤, 刘富财, 张进江. 2021. 断裂带中方解石脉显微结构、地球化学和年代学研究: 藏南亚东裂谷带古地震记录. 岩石学报, 37(10): 3185-3203. doi: 10.18654/1000-0569/2021.10.13
LI ChunRui, LI HaiBing, PAN JiaWei, LIU DongLiang, BAI MingKun, LIU FuCai, ZHANG JinJiang. 2021. Calcite microstructure, geochemistry and chronology within the fault zone reveal the paleoseismic records of the Yadong rift, southern Tibet. Acta Petrologica Sinica, 37(10): 3185-3203. doi: 10.18654/1000-0569/2021.10.13
Citation: LI ChunRui, LI HaiBing, PAN JiaWei, LIU DongLiang, BAI MingKun, LIU FuCai, ZHANG JinJiang. 2021. Calcite microstructure, geochemistry and chronology within the fault zone reveal the paleoseismic records of the Yadong rift, southern Tibet. Acta Petrologica Sinica, 37(10): 3185-3203. doi: 10.18654/1000-0569/2021.10.13

断裂带中方解石脉显微结构、地球化学和年代学研究: 藏南亚东裂谷带古地震记录

  • 基金项目:

    本文受科技部第二次青藏高原综合科学考察项目(2019QZKK0901)、中国地质调查局项目(DD20190059)和南方海洋科学与工程广东省实验室(广州)人才团队引进重大专项(GML2019ZD0201)联合资助

详细信息
    作者简介:

    李春锐, 男, 1991年生, 博士生, 构造地质学专业, E-mail: chunruilee@126.com

    通讯作者: 李海兵, 男, 1966年生, 博士, 研究员, 博士生导师, 主要从事构造地质学及活动构造研究, E-mail: lihaibing06@163.com
  • 中图分类号: P542;P583;P597.3

Calcite microstructure, geochemistry and chronology within the fault zone reveal the paleoseismic records of the Yadong rift, southern Tibet

More Information
  • 断裂带中的方解石脉作为流体的直接记录,保存了丰富的断层活动信息。亚东裂谷是藏南地区南北向裂谷系中一条具有区域规模的大型裂谷,自北向南分别为热隆、涅如堆以及帕里次级裂谷。本文在涅如堆地堑南、北部和帕里地堑北部裂谷断层选取三个采样点,对沿断层发育的方解石脉进行研究,揭示了脉体与地震活动的关系、流体来源以及古地震发生时间。显微结构观察显示,方解石脉主要具有块状和拉长块状结构,分别代表了同震快速沉淀以及震后的同构造期沉淀。涅如堆地堑北部方解石脉具有Eu元素正异常以及高87Sr/86Sr比值的热液特征,异常轻的碳氧同位素值显示出地幔流体和大气水贡献。涅如堆地堑南部和帕里地堑北部方解石脉具有Ce和Eu负异常以及Y正异常的低温特征,与区域内灰岩相近的δ13C和87Sr/86Sr值反映了围岩来源,偏负的δ18O表明同样存在大气水贡献。方解石的地球化学特征反映了裂谷断层切割深度大,在断层活动期间能够沟通不同深度域的流体。断层亚东裂谷涅如堆段方解石脉铀系测年结果为距今679±129ka,帕里段北部结果为距今544±26ka、444±15ka和408±13ka,由于以上样品均具有同震或同构造期的内部结构特征,因此测年结果代表了地震活动时间。结合涅如堆段发育的断层三角面高差,计算出裂谷断层中更新世以来的E-W向伸展速率为0.17~0.24mm/yr,小于晚更新世以来0.8±0.3mm/yr的伸展速率,以及GPS观测的伸展速率6mm/yr。即中更新世以来,亚东裂谷涅如堆段断层活动速率逐渐增大。该地区断裂带中广泛发育的方解石脉能够为基岩区的断层活动和古地震研究提供宝贵的资料。

  • 加载中
  • 图 1 

    藏南地区正断层分布和亚东-谷露裂谷位置

    Figure 1. 

    Normal faults distribution and location of Yadong-Gulu rift in southern Tibet (modified after Tapponnier et al., 2001; Kapp et al., 2008; Baltz, 2012)

    图 2 

    亚东裂谷区域地质简图(据Zhang et al., 2012; 刘文灿等,2014)

    Figure 2. 

    Geological sketch of Yadong rift area (modified after Zhang et al., 2012 and Liu et al., 2014)

    图 3 

    涅如堆地堑正断层构造特征(达凯研究点)

    Figure 3. 

    Field characteristics of the Dakai normal fault in the Nierudui graben

    图 4 

    涅如堆地堑正断层构造特征(土热勒研究点)

    Figure 4. 

    Structural characteristics of the Turele normal fault in the Nierudui graben

    图 5 

    帕里地堑正断层构造特征(冲巴研究点)

    Figure 5. 

    Structural characteristics of the Chumba normal fault in the Pagri graben

    图 6 

    断层活动相关的方解石脉体野外宏观构造特征及采样位置

    Figure 6. 

    Field macrostructure characteristics and sampling locations of calcite veins related to fault activity

    图 7 

    亚东裂谷与正断活动相关的方解石脉微观构造特征

    Figure 7. 

    Microstructure characteristics of calcite veins related to normal fault activity in Yadong rift, Tibet

    图 8 

    方解石脉、围岩和钙华的同位素特征

    Figure 8. 

    Isotopic characteristics of calcite veins, host rocks and travertine

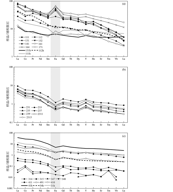
    图 9 

    达凯研究点(a)、土热勒研究点(b)和冲巴研究点(c)方解脉和围岩的球粒陨石标准化REY模式(标准化值据Haskin et al., 1968)

    Figure 9. 

    Chondrite-normalized REY-patterns of calcite veins and host rock from Dakai (a), Turele (b), and Chumba (c) sites (normalized values after Haskin et al., 1968)

    图 10 

    方解石脉内部特征结构(据Woodcock et al., 2007)

    Figure 10. 

    Typical microstructures of calcite vein (after Woodcock et al., 2007)

    图 11 

    亚东裂谷地震相关方解石脉生长模式

    Figure 11. 

    Growth patterns of earthquake-related calcite veins in the Yadong rift

    图 12 

    地震相关的断裂带流体循环模式图

    Figure 12. 

    Earthquake-related fluid circulation pattern within the fault zone

    表 1 

    亚东裂谷方解石脉、围岩和钙华的氧-碳-锶同位素值

    Table 1. 

    Summary of the oxygen, carbon, and strontium isotopic compositions of veins, travertine, and host rocks in the Yadong rift

    样品号 采样位置 岩性 δ18OV-PDB (‰) δ18OV-SMOW (‰) δ13CV-PDB (‰) 87Sr/86Sr Error (2σ)
    YD111 达凯剖面 方解石 -37.3 -7.5 -3.4 0.730413 0.000013
    YD112 达凯剖面 方解石 -38.5 -8.8 -3.9 0.730776 0.000012
    YD131 达凯剖面 方解石 -39.1 -9.4 -3.3 0.722397 0.000012
    YD132 达凯剖面 方解石 -38.4 -8.7 -3.4 0.722452 0.000013
    YD141 达凯F1断层 方解石 -39 -9.3 -4 0.726026 0.000014
    YD142 达凯F1断层 方解石 -38.8 -9.1 -4 0.725872 0.000012
    YD143 达凯F1断层 方解石 -38.7 -9 -4.4 0.725188 0.000012
    YD161 达凯F2断层 方解石 -38.1 -8.4 -4 0.730085 0.000014
    YD162 达凯F2断层 方解石 -38 -8.3 -4.1 0.729472 0.000015
    YD163 达凯F2断层 方解石 -35 -5.2 -3.8 0.730711 0.000013
    YD164 达凯F2断层 方解石 -38.9 -9.2 -4.2 0.728664 0.000011
    YD165 达凯F2断层 方解石 -38.9 -9.2 -4.2 0.726998 0.000014
    YD171 达凯F2断层 方解石 -34.6 -4.8 -4 0.733994 0.000013
    NFA0 土热勒F3断层 方解石 -33.1 -3.2 0.9
    NFA1 土热勒F3断层 钙华 -16.5 13.9 5
    NFA2 土热勒F3断层 钙华 -13.1 17.4 5.9
    NFAh 土热勒F3断层 灰岩 -20.8 9.5 3.5
    YD231 土热勒F4断层 灰岩 -16.7 13.7 4.4 0.715030 0.000011
    YD233 土热勒F4断层 灰岩 -17.3 13.1 4.3 0.715968 0.000012
    YD235 土热勒F4断层 灰岩 -17.3 13.1 4.2 0.718883 0.000060
    YD237 土热勒F4断层 灰岩 -15.6 14.8 4.2 0.716430 0.000013
    YD239 土热勒F4断层 灰岩 -13.1 17.4 4.5 0.713910 0.000012
    YD2311 土热勒F4断层 方解石 -34.1 -4.2 2.2 0.728709 0.000012
    YD2315 土热勒F4断层 方解石 -33.8 -3.9 2.1 0.728818 0.000012
    YD314 冲巴F7断层 方解石 -31 -1 3.5 0.715769 0.000014
    YD315 冲巴F7断层 方解石 -30.9 -0.9 3.5 0.715921 0.000015
    YD347 冲巴F7断层 方解石 -29.8 0.2 3 0.715721 0.000012
    YD348 冲巴F7断层 方解石 -31.4 -1.5 3.3 0.715290 0.000008
    YD411 冲巴F7断层 方解石 -32.5 -2.6 2.6 0.713612 0.000012
    YD491 冲巴F6断层 方解石 -29.7 0.3 1.8 0.713235 0.000014
    YD4101 冲巴F6断层 方解石 -29.8 0.2 1.6 0.713434 0.000012
    YD34h 冲巴剖面 灰岩 -27.7 2.4 3.2 0.714799 0.000013
    YD41h 冲巴剖面 灰岩 -29.3 0.7 0.8 0.711204 0.000013
    下载: 导出CSV

    表 2 

    亚东裂谷方解石脉和围岩REY元素分析结果(×10-6)

    Table 2. 

    REY compositions of the calcite veins and host rock in Yadong rift (×10-6)

    样品号 采样位置 岩性 La Ce Pr Nd Sm Eu Gd Tb Dy Y Ho Er Tm Yb Lu
    YD111 达凯剖面 方解石 41.48 28.18 36.05 31.08 24.29 27.94 23.07 23.57 22.12 17.89 18.33 13.89 9.757 7.329 5.041
    YD112 达凯剖面 方解石 28.14 20.19 20.73 16.13 13.10 12.16 11.17 10.04 8.870 9.013 7.374 5.944 4.680 3.654 2.535
    YD131 达凯剖面 方解石 83.33 59.51 49.13 40.71 30.15 53.96 25.96 26.18 23.11 14.41 18.24 13.50 10.20 7.677 5.000
    YD132 达凯剖面 方解石 64.36 45.10 43.82 32.72 26.13 50.07 23.23 21.57 18.16 16.99 13.95 10.57 8.003 5.806 3.640
    YD141 达凯F1断层 方解石 75.95 65.89 43.61 33.94 27.11 45.63 21.79 21.97 19.09 15.02 15.49 10.88 9.109 5.957 3.862
    YD161 达凯F2断层 方解石 65.89 44.62 44.95 37.33 36.23 61.47 37.76 36.03 32.20 34.02 29.10 25.89 23.16 20.15 17.13
    YD164 达凯F2断层 方解石 62.63 41.68 41.27 34.40 32.54 68.14 32.67 29.57 25.61 27.49 22.97 19.78 16.78 13.77 11.42
    YD171 达凯F2断层 方解石 13.19 8.475 7.317 6.468 5.324 8.259 6.121 6.565 6.236 6.168 5.678 4.625 3.522 2.938 2.398
    YD111h 达凯剖面 砂质板岩 21.50 16.17 14.08 12.38 10.37 6.004 8.894 8.947 8.427 5.738 8.150 7.606 6.964 6.950 6.789
    YD112h 达凯剖面 砂质板岩 44.56 31.63 29.04 20.74 14.21 10.77 11.78 10.49 9.159 9.229 7.971 7.035 6.303 5.133 4.283
    YD131h 达凯剖面 砂质板岩 11.83 7.962 7.986 6.496 5.927 6.520 5.851 5.355 5.002 5.736 5.087 5.021 4.950 5.077 5.246
    YD231 土热勒F4断层 灰岩 9.290 5.730 5.406 4.006 2.485 1.203 1.864 1.506 1.299 1.759 1.276 1.172 1.120 0.908 0.855
    YD233 土热勒F4断层 灰岩 4.741 2.741 2.486 1.632 0.875 0.593 0.695 0.543 0.490 0.805 0.480 0.462 0.387 0.314 0.286
    YD235 土热勒F4断层 灰岩 6.261 3.763 3.490 2.341 1.243 0.728 0.999 0.789 0.706 1.138 0.680 0.617 0.533 0.426 0.394
    YD237 土热勒F4断层 灰岩 6.345 3.986 3.666 2.566 1.540 0.847 1.156 0.938 0.791 1.190 0.779 0.721 0.620 0.571 0.498
    YD239 土热勒F4断层 灰岩 4.836 2.836 2.465 1.595 0.831 0.526 0.640 0.519 0.428 0.632 0.431 0.387 0.347 0.330 0.286
    YD2311 土热勒F4断层 方解石 5.433 3.251 3.211 2.477 1.496 0.829 1.312 1.111 0.981 1.544 0.994 0.895 0.733 0.628 0.572
    YD2315 土热勒F4断层 方解石 3.767 2.186 2.051 1.473 0.881 0.457 0.672 0.543 0.501 0.703 0.480 0.433 0.387 0.314 0.286
    YD314 冲巴F7断层 方解石 0.507 0.383 0.363 0.257 0.158 0.085 0.106 0.098 0.069 0.072 0.083 0.052 0.077 0.050 0.037
    YD315 冲巴F7断层 方解石 0.321 0.246 0.218 0.168 0.114 0.034 0.083 0.049 0.051 0.059 0.050 0.040 0.040 0.045 0.037
    YD347 冲巴F7断层 方解石 0.028 0.079 0.021 0.025 0.025 0.000 0.014 0.000 0.011 0.014 0.017 0.011 0.040 0.006 0.000
    YD348 冲巴F7断层 方解石 0.045 0.106 0.031 0.031 0.025 0.018 0.014 0.026 0.022 0.015 0.017 0.011 0.040 0.011 0.000
    YD411 冲巴F7断层 方解石 8.641 5.538 5.189 3.880 2.510 1.778 2.071 1.604 1.376 1.632 1.260 1.125 1.007 0.762 0.643
    YD491 冲巴F6断层 方解石 1.873 1.437 1.491 1.210 0.767 0.406 0.617 0.494 0.403 0.494 0.364 0.340 0.310 0.280 0.249
    YD410 冲巴F6断层 方解石 5.346 3.872 4.402 3.898 2.662 1.609 2.394 1.974 1.727 1.720 1.640 1.425 1.237 1.059 1.000
    YD31h 冲巴剖面 灰岩 13.52 9.788 9.104 6.380 3.848 1.896 2.500 1.949 1.665 1.594 1.574 1.478 1.353 1.171 1.034
    YD34h 冲巴剖面 灰岩 3.120 2.247 2.051 1.437 0.862 0.390 0.575 0.468 0.344 0.324 0.299 0.295 0.270 0.269 0.249
    YD41h 冲巴剖面 灰岩 37.63 28.15 25.68 17.52 10.28 4.962 6.790 5.232 4.432 3.939 3.877 3.584 3.247 2.908 2.606
    下载: 导出CSV

    表 3 

    亚东裂谷断层方解石脉U系测年结果

    Table 3. 

    U-series dating of calcite veins in the Yadong rift

    样品号 238U 232Th 230Th/232Th δ234U* 230Th/238U 230Th Age (yr) 230Th Age (yr) δ234UInitial** 230Th Age (yr BP)***
    (×10-9) (×10-12) (×10-6) (未校正) (校正后) (校正后) (校正后)
    NFA0 28.8 ±0.0 12361 ±247 59 ±1 372.1 ±3.8 1.5286 ±0.0048 682469 ±133476 678862 ±129046 2528 ±1054 678791 ±129046
    YD314 28.8 ±0.0 2512 ±50 233 ±5 192.6 ±2.1 1.2342 ±0.0034 409815 ±12662 408224 ±12547 609 ±23 408153 ±12547
    YD348 19.8 ±0.0 604 ±12 813 ±17 384.9 ±2.0 1.5059 ±0.0046 444321 ±14669 443938 ±14629 1347 ±56 443867 ±14629
    YD410 373.0 ±0.6 47148 ±944 225 ±5 524.7 ±2.2 1.7273 ±0.0047 544751 ±26667 543669 ±26467 2433 ±183 543598 ±26467
    注:*δ234U=[(234U/238U)-1]×1000;**校正后的230Th年龄假设初始230Th/232Th原子比为4.4±2.2×10-6***‘BP’代表“现今之前”,“现今”定义为公元1950年
    下载: 导出CSV
  •  

    Armijo R, Tapponnier P, Mercier JL and Han TL. 1986. Quaternary extension in southern Tibet: Field observations and tectonic implications. Journal of Geophysical Research: Solid Earth, 91(B14): 13803-13872 doi: 10.1029/JB091iB14p13803

     

    Baltz T. 2012. Structural evolution of Thakkhola Graben: Implications for the architecture of the Central Himalaya, Nepal. Master Degree Thesis. Houston: University of Houston, 1-98

     

    Barberio MD, Barbieri M, Billi A, Doglioni C and Petitta M. 2017. Hydrogeochemical changes before and during the 2016 Amatrice-Norcia seismic sequence (central Italy). Scientific Reports, 7(1): 11735 doi: 10.1038/s41598-017-11990-8

     

    Barnes HL and Rose AW. 1998. Origins of hydrothermal ores. Science, 279(5359): 2064-2065 doi: 10.1126/science.279.5359.2064

     

    Bau M, Möller P and Dulski P. 1997. Yttrium and lanthanides in eastern Mediterranean seawater and their fractionation during redox-cycling. Marine Chemistry, 56(1-2): 123-131 doi: 10.1016/S0304-4203(96)00091-6

     

    Bergman SC, Huntington KW and Crider JG. 2013. Tracing paleofluid sources using clumped isotope thermometry of diagenetic cements along the Moab Fault, Utah. American Journal of Science, 313(5): 490-515 doi: 10.2475/05.2013.03

     

    Bolhar R, Kamber BS, Moorbath S, Fedo CM and Whitehouse MJ. 2004. Characterisation of Early Archaean chemical sediments by trace element signatures. Earth and Planetary Science Letters, 222(1): 43-60 doi: 10.1016/j.epsl.2004.02.016

     

    Bons PD. 2001. The formation of large quartz veins by rapid ascent of fluids in mobile hydrofractures. Tectonophysics, 336(1-4): 1-17 doi: 10.1016/S0040-1951(01)00090-7

     

    Bons PD, Elburg MA and Gomez-Rivas E. 2012. A review of the formation of tectonic veins and their microstructures. Journal of Structural Geology, 43: 33-62 doi: 10.1016/j.jsg.2012.07.005

     

    Boullier AM, Fujimoto K, Ohtani T, Roman-Ross G, Lewin é, Ito H, Pezard P and Ildefonse B. 2004. Textural evidence for recent co-seismic circulation of fluids in the Nojima fault zone, Awaji Island, Japan. Tectonophysics, 378(3-4): 165-181 doi: 10.1016/j.tecto.2003.09.006

     

    Brogi A, Capezzuoli E, Alçiçek MC and Gandin A. 2014. Evolution of a fault-controlled fissure-ridge type travertine deposit in the western Anatolia extensional province: The Çukurbaǧ fissure-ridge (Pamukkale, Turkey). Journal of the Geological Society, 171(3): 425-441 doi: 10.1144/jgs2013-034

     

    Cheng H, Edwards RL, Hoff J, Gallup CD, Richards DA and Asmerom Y. 2000. The half-lives of uranium-234 and thorium-230. Chemical Geology, 169(1-2): 17-33 doi: 10.1016/S0009-2541(99)00157-6

     

    Cheng H, Edwards RL, Shen CC, Polyak VJ, Asmerom Y, Woodhead J, Hellstrom J, Wang YJ, Kong XG, Spötl C, Wang XF and Alexander EC Jr. 2013. Improvements in 230Th dating, 230Th and 234U half-life values, and U-Th isotopic measurements by multi-collector inductively coupled plasma mass spectrometry. Earth and Planetary Science Letters, 371-372: 82-91 doi: 10.1016/j.epsl.2013.04.006

     

    Chevalier ML, Tapponnier P, Van Der Woerd J, Leloup PH, Wang S, Pan J, Bai M, Kali E, Liu X and Li H. 2020. Late Quaternary extension rates across the northern half of the Yadong-Gulu Rift: Implication for east-west extension in southern Tibet. Journal of Geophysical Research: Solid Earth, 125(7): e2019JB019106 https://agupubs.onlinelibrary.wiley.com/doi/10.1029/2019jb019106

     

    Coplen TB, Kendall C and Hopple J. 1983. Comparison of stable isotope reference samples. Nature, 302(5905): 236-238 doi: 10.1038/302236a0

     

    De Filippis L, Faccenna C, Billi A, Anzalone E, Brilli M, Soligo M and Tuccimei P. 2013. Plateau versus fissure ridge travertines from Quaternary geothermal springs of Italy and Turkey: Interactions and feedbacks between fluid discharge, paleoclimate, and tectonics. Earth-Science Reviews, 123: 35-52 doi: 10.1016/j.earscirev.2013.04.004

     

    Dolejš D and Manning CE. 2010. Thermodynamic model for mineral solubility in aqueous fluids: Theory, calibration and application to model fluid-flow systems. Geofluids, 10(1-2): 20-40 https://onlinelibrary.wiley.com/doi/epdf/10.1111/j.1468-8123.2010.00282.x

     

    Durney DW and Ramsay JG. 1973. Incremental strains measured by syntectonic crystal growths. In: De Jong KA and Schölten R (eds.). Gravity and Tectonics. New York: John Wiley & Sons, 67-96

     

    Edwards RL, Chen JH and Wasserburg GJ. 1987. 238U-234U-230Th-232Th systematics and the precise measurement of time over the past 500, 000 years. Earth and Planetary Science Letters, 81(2-3): 175-192 doi: 10.1016/0012-821X(87)90154-3

     

    Eyal Y, Kaufman A and Bar-Matthews M. 1992. Use of 230Th/U ages of striated carnotites for dating fault displacements. Geology, 20(9): 829-832 doi: 10.1130/0091-7613(1992)020<0829:UOTUAO>2.3.CO;2

     

    Faure G. 1998. Principles and Applications of Geochemistry. 2nd Edition. Upper Saddle River, NJ: Prentice-Hall, 1-600

     

    Flotté N, Plagnes V, Sorel D and Benedicto A. 2001. Attempt to date Pleistocene normal faults of the Corinth-Patras Rift (Greece) by U/Th Method, and tectonic implications. Geophysical Research Letters, 28(19): 3769-3772 doi: 10.1029/2001GL012964

     

    Gajurel AP, France-Lanord C, Huyghe P, Guilmette C and Gurung D. 2006. C and O isotope compositions of modern fresh-water mollusc shells and river waters from the Himalaya and Ganga plain. Chemical Geology, 233(1-2): 156-183 doi: 10.1016/j.chemgeo.2006.03.002

     

    Gratier JP and Gamond JF. 1990. Transition between seismic and aseismic deformation in the upper crust. Geological Society, London, Special Publications, 54(1): 461-473 doi: 10.1144/GSL.SP.1990.054.01.42

     

    Ha GH. 2019. Normal faulting of central-southern Yadong-Gulu rift since Late Cenozoic, Southern Tibet. Ph. D. Dissertation. Beijing: Chinese Academy of Geological Sciences, 1-147 (in Chinese with English summary)

     

    Ha GH, Wu ZH, Gai HL and Zuo JM. 2019a. New discovery of surface rupture of large paleo-earthquake along northern Pagri-Duoqing Co Graben, Southern Yadong-Gulu Rift. Acta Geologica Sinica, 93(4): 1135-1136 doi: 10.1111/1755-6724.13829

     

    Ha GH, Wu ZH and Liu F. 2019b. Late Quaternary vertical slip rates along the southern Yadong-Gulu Rift, Southern Tibetan Plateau. Tectonophysics, 755: 75-90 doi: 10.1016/j.tecto.2019.02.014

     

    Haskin LA, Haskin MA, Frey FA and Wildeman TR. 1968. Relative and absolute terrestrial abundances of the rare earths. Origin and Distribution of the Elements: Pergamon Press, 889-912

     

    Hilgers C, Koehn D, Bons PD and Urai JL. 2001. Development of crystal morphology during unitaxial growth in a progressively widening vein: Ⅱ. Numerical simulations of the evolution of antitaxial fibrous veins. Journal of Structural Geology, 23(6-7): 873-885 doi: 10.1016/S0191-8141(00)00160-7

     

    Hiramatsu Y, Honma H, Saiga A, Furumoto M and Ooida T. 2005. Seismological evidence on characteristic time of crack healing in the shallow crust. Geophysical Research Letters, 32(9): L09304 https://agupubs.onlinelibrary.wiley.com/doi/10.1029/2005GL022657

     

    Kapp P and Guynn JH. 2004. Indian punch rifts Tibet. Geology, 32(11): 993-996 doi: 10.1130/G20689.1

     

    Kapp P, Taylor M, Stockli D and Ding L. 2008. Development of active low-angle normal fault systems during orogenic collapse: Insight from Tibet. Geology, 36(1): 7-10 doi: 10.1130/G24054A.1

     

    Leloup PH, Mahéo G, Arnaud N, Kali E, Boutonnet E, Liu DY, Liu XH and Li HB. 2010. The South Tibet detachment shear zone in the Dinggye area: Time constraints on extrusion models of the Himalayas. Earth and Planetary Science Letters, 292(1-2): 1-16 doi: 10.1016/j.epsl.2009.12.035

     

    Li CF, Chu ZY, Wang XC, Guo JH and Wilde SA. 2019. Sr isotope analysis of picogram-level samples by thermal ionization mass spectrometry using a highly sensitive silicotungstic acid emitter. Analytical Chemistry, 91(11): 7288-7294 doi: 10.1021/acs.analchem.9b00958

     

    Li KY, Chevalier ML, Li HB, Pan JW, Wang SG, Bai MK, Liu FC and Wang P. 2020. Thermochronology of the Chumba Yumco leucogranite, southern Tibet: Constraints on the onset time of the STDS and the Yadong rift. Acta Petrologica Sinica, 36(10): 3097-3116 (in Chinese with English abstract) doi: 10.18654/1000-0569/2020.10.10

     

    Li L and Garzione CN. 2017. Spatial distribution and controlling factors of stable isotopes in meteoric waters on the Tibetan Plateau: Implications for paleoelevation reconstruction. Earth and Planetary Science Letters, 460: 302-314 doi: 10.1016/j.epsl.2016.11.046

     

    Li YG, Chen P, Cochran ES, Vidale JE and Burdette T. 2006. Seismic evidence for rock damage and healing on the San Andreas fault associated with the 2004 M6.0 Parkfield earthquake. Bulletin of the Seismological Society of America, 96(4B): S349-S363 doi: 10.1785/0120050803

     

    Liu JH, Yi CL, Li YK, Bi WL, Zhang Q and Hu G. 2017. Glacial fluctuations around the Karola Pass, eastern Lhagoi Kangri Range, since the Last Glacial Maximum. Journal of Quaternary Science, 32(4): 516-527 doi: 10.1002/jqs.2946

     

    Liu WC, Zhou ZG, Gao DZ, Wan XQ and Zhao XG. 2006. Late Pleistocene-Holocene lacustrine deposits and paleolake evolution in the Pagri area, Yadong County, southern Tibet, China. Geological Bulletin of China, 25(6): 708-714 (in Chinese with English abstract) http://en.cnki.com.cn/Article_en/CJFDTOTAL-ZQYD200606009.htm

     

    Liu WC, Zhou ZG, Li GB et al. 2014. Regional Geological Survey of the People's Republic of China Report Gyangze County Sheet (H45C004004), Yadong County Sheet (G45C001004) Scale 1: 250000. Beijing: China University of Geosciences Press (in Chinese)

     

    McNutt RH. 2000. Strontium isotopes. In: Cook PG and Herczeg AL (eds.). Environmental Tracers in Subsurface Hydrology. Boston, MA: Springer, 233-260

     

    Menzies CD, Teagle DAH, Craw D, Cox SC, Boyce AJ, Barrie CD and Roberts S. 2014. Incursion of meteoric waters into the ductile regime in an active orogen. Earth and Planetary Science Letters, 399: 1-13 doi: 10.1016/j.epsl.2014.04.046

     

    Molnar P and Tapponnier P. 1978. Active tectonics of Tibet. Journal of Geophysical Research: Solid Earth, 83(B11): 5361-5375 doi: 10.1029/JB083iB11p05361

     

    Nollet S, Hilgers C and Urai J. 2005. Sealing of fluid pathways in overpressure cells: A case study from the Buntsandstein in the Lower Saxony Basin (NW Germany). International Journal of Earth Sciences, 94(5): 1039-1055 https://www.zhangqiaokeyan.com/academic-journal-foreign_other_thesis/0204112294944.html

     

    Nuriel P, Rosenbaum G, Uysal TI, Zhao J, Golding SD, Weinberger R, Karabacak V and Avni Y. 2011. Formation of fault-related calcite precipitates and their implications for dating fault activity in the East Anatolian and Dead Sea fault zones. Geological Society, London, Special Publications, 359(1): 229-248 doi: 10.1144/SP359.13

     

    Nuriel P, Rosenbaum G, Zhao JX, Feng YX, Golding SD, Villemant B and Weinberger R. 2012. U-Th dating of striated fault planes. Geology, 40(7): 647-650 doi: 10.1130/G32970.1

     

    Nuriel P, Craddock J, Kylander-Clark ARC, Uysal IT, Karabacak V, Dirik RK, Hacker BR and Weinberger R. 2019. Reactivation history of the North Anatolian fault zone based on calcite age-strain analyses. Geology, 47(5): 465-469 doi: 10.1130/G45727.1

     

    Oliver NHS and Bons PD. 2001. Mechanisms of fluid flow and fluid-rock interaction in fossil metamorphic hydrothermal systems inferred from vein-wallrock patterns, geometry and microstructure. Geofluids, 1(2): 137-162 doi: 10.1046/j.1468-8123.2001.00013.x

     

    O'Neil JR, Clayton RN and Mayeda TK. 1969. Oxygen isotope fractionation in divalent metal carbonates. The Journal of Chemical Physics, 51(12): 5547-5558 doi: 10.1063/1.1671982

     

    Peng X, Chen YX, Liu BB, Liu GN, Liu Q and Liu JN. 2018. Timing and features of a late MIS 2 rock avalanche in the Eastern Himalayas, constrained by 10Be exposure dating. Geomorphology, 318: 58-68 doi: 10.1016/j.geomorph.2018.05.022

     

    Phillips WJ. 1972. Hydraulic fracturing and mineralization. Journal of the Geological Society, 128(4): 337-359 doi: 10.1144/gsjgs.128.4.0337

     

    Putnis A, Prieto M and Fernandez-Diaz L. 1995. Fluid supersaturation and crystallization in porous media. Geological magazine, 132(1): 1-13 doi: 10.1017/S0016756800011389

     

    Putnis A and Mauthe G. 2001. The effect of pore size on cementation in porous rocks. Geofluids, 1(1): 37-41 doi: 10.1046/j.1468-8123.2001.11001.x

     

    Ramsay JG. 1980. The crack-seal mechanism of rock deformation. Nature, 284(5752): 135-139 doi: 10.1038/284135a0

     

    Robert F, Boullier AM and Firdaous K. 1995. Gold-quartz veins in metamorphic terranes and their bearing on the role of fluids in faulting. Journal of Geophysical Research: Solid Earth, 100(B7): 12861-12879 doi: 10.1029/95JB00190

     

    Sakai H and Matsuhisa Y. 1996. Stable Isotope Geochemistry. Tokyo: University of Tokyo Press

     

    Shen SZ, Cao CQ, Zhang YC, Li WZ, Shi GR, Wang Y, Wu YS, Ueno K, Henderson CM, Wang XD, Zhang H, Wang XJ and Chen J. 2010. End-Permian mass extinction and palaeoenvironmental changes in Neotethys: Evidence from an oceanic carbonate section in southwestern Tibet. Global and Planetary Change, 73(1-2): 3-14 doi: 10.1016/j.gloplacha.2010.03.007

     

    Tapponnier P, Mercier JL, Armijo R, Han TL and Zhou J. 1981. Field evidence for active normal faulting in Tibet. Nature, 294(5840): 410-414 doi: 10.1038/294410a0

     

    Tapponnier P, Xu ZQ, Roger F, Meyer B, Arnaud N, Wittlinger G and Yang JS. 2001. Oblique stepwise rise and growth of the Tibet Plateau. Science, 294(5547): 1671-1677 doi: 10.1126/science.105978

     

    Uysal IT, Feng YX, Zhao JX, Altunel E, Weatherley D, Karabacak V, Cengiz O, Golding SD, Lawrence MG and Collerson KD. 2007. U-series dating and geochemical tracing of Late Quaternary travertine in co-seismic fissures. Earth and Planetary Science Letters, 257(3-4): 450-462 doi: 10.1016/j.epsl.2007.03.004

     

    Uysal IT, Feng YX, Zhao JX, Bolhar R, Işik V, Baublys KA, Yago A and Golding SD. 2011. Seismic cycles recorded in Late Quaternary calcite veins: Geochronological, geochemical and microstructural evidence. Earth and Planetary Science Letters, 303(1-2): 84-96 doi: 10.1016/j.epsl.2010.12.039

     

    Verhaert G, Muchez P, Sintubin M, Similox-Tohon D, Vandycke S and Waelkens M. 2003. Reconstruction of neotectonic activity using carbonate precipitates: A case study from the northwestern extremity of the Isparta Angle (SW Turkey). Journal of Geochemical Exploration, 78-79: 197-201 doi: 10.1016/S0375-6742(03)00070-0

     

    Verhaert G, Muchez P, Sintubin M, Similox-Tohon D, Vandycke S, Keppens E, Hodge EJ and Richards DA. 2004. Origin of palaeofluids in a normal fault setting in the Aegean region. Geofluids, 4(4): 300-314 doi: 10.1111/j.1468-8123.2004.00094.x

     

    Wan XQ, Liang DY and Li GB. 2002. Palaeocene strata in Gamba, Tibet and influence of Tectonism. Acta Geologica Sinica, 76(2): 155-162 (in Chinese with English abstract) http://en.cnki.com.cn/Article_en/CJFDTOTAL-DZXE200202002.htm

     

    Wang SG, Chevalier ML, Pan JW, Bai MK, Li KY, Li HB and Wang GH. 2020. Quantification of the Late Quaternary throw rates along the Yadong rift, southern Tibet. Tectonophysics, 790: 228545 doi: 10.1016/j.tecto.2020.228545

     

    Watanabe Y, Nakai SI and Lin AM. 2008. Attempt to determine U-Th ages of calcite veins in the Nojima fault zone, Japan. Geochemical Journal, 42(6): 507-513 doi: 10.2343/geochemj.42.507

     

    Williams RT, Goodwin LB, Sharp WD and Mozley PS. 2017. Reading a 400, 000-year record of earthquake frequency for an intraplate fault. Proceedings of the National Academy of Sciences of the United States of America, 114(19): 4893-4898 doi: 10.1073/pnas.1617945114

     

    Woodcock NH, Dickson JAD and Tarasewicz JPT. 2007. Transient permeability and reseal hardening in fault zones: Evidence from dilation breccia textures. Geological Society, London, Special Publications, 270(1): 43-53 doi: 10.1144/GSL.SP.2007.270.01.03

     

    Wu CD, Nelson KD, Wortman G, Samson SD, Yue YJ, Li JX, Kidd WSF and Edwards MA. 1998. Yadong cross structure and South Tibetan Detachment in the east central Himalaya (89°~90°E). Tectonics, 17(1): 28-45 doi: 10.1029/97TC03386

     

    Wu ZH, Ye PS, Barosh PJ and Wu ZH. 2011. The October 6, 2008 Mw 6.3 magnitude Damxung earthquake, Yadong-Gulu rift, Tibet, and implications for present-day crustal deformation within Tibet. Journal of Asian Earth Sciences, 40(4): 943-957 doi: 10.1016/j.jseaes.2010.05.003

     

    Yang XS and Jin ZM. 2001. Studies on Rb-Sr and Sm-Nd isotope of Yadong leucogranite in Tibet: Constraint on its age and source material. Geological Review, 47(3): 294-300 (in Chinese with English abstract) http://en.cnki.com.cn/Article_en/CJFDTOTAL-DZLP200103013.htm

     

    Yu SY, Fang X, Zhang YD, Zhen YY, Li WJ, Li Y and Munnecke A. 2021. First record of the Middle Darriwilian δ13C excursion (MDICE) in southern Xizang (Tibet), China, and its implications. Carbonates and Evaporites, 36(2): 33 doi: 10.1007/s13146-021-00703-y

     

    Zhang B, Yin CY, Gu ZD, Zhang JJ, Yan SY and Wang Y. 2015. New indicators from bedding-parallel beef veins for the fault valve mechanism. Science China (Earth Sciences), 58(8): 1320-1336 doi: 10.1007/s11430-015-5086-6

     

    Zhang HF, Harris N, Parrish R, Zhang L, Zhao ZD and Li DW. 2005. Geochemistry of North Himalayan leucogranites: Regional comparison, petrogenesis and tectonic implications. Earth Science (Journal of China University of Geosciences), 30(3): 275-288 (in Chinese with English abstract) http://en.cnki.com.cn/Article_en/CJFDTOTAL-DQKX200503003.htm

     

    Zhang JJ, Santosh M, Wang XX, Guo L, Yang XY and Zhang B. 2012. Tectonics of the northern Himalaya since the India-Asia collision. Gondwana Research, 21(4): 939-960 doi: 10.1016/j.gr.2011.11.004

     

    哈广浩. 2019. 藏南亚东-谷露裂谷中-南段晚新生代正断层作用. 博士学位论文. 北京: 中国地质科学院, 1-147http://cdmd.cnki.com.cn/article/cdmd-82501-1019146207.htm

     

    李开玉, Chevalier ML, 李海兵, 潘家伟, 王世广, 白明坤, 刘富财, 王平. 2020. 藏南冲巴雍错淡色花岗岩体热年代学及其对藏南拆离系和亚东裂谷构造活动时限的制约. 岩石学报, 36(10): 3097-3116 http://www.ysxb.ac.cn/ysxb/ch/reader/view_abstract.aspx?flag=1&file_no=20201010&journal_id=ysxb

     

    刘文灿, 周志广, 高德臻, 万晓樵, 赵兴国. 2006. 藏南亚东县帕里地区晚更新世-全新世湖相地层特征及古湖泊演化. 地质通报, 25(6): 708-714 doi: 10.3969/j.issn.1671-2552.2006.06.009

     

    刘文灿, 周志广, 李国彪等. 2014. 中华人民共和国区域地质调查报告-江孜县幅(H45C004004)、亚东县幅(G45C001004) 比例尺1: 250000. 北京: 中国地质大学出版社

     

    万晓樵, 梁定益, 李国彪. 2002. 西藏岗巴古新世地层及构造作用的影响. 地质学报, 76(2): 155-162 https://www.cnki.com.cn/Article/CJFDTOTAL-DZXE200202002.htm

     

    杨晓松, 金振民. 2001. 西藏亚东淡色花岗岩Rb-Sr和Sm-Nd同位素研究——关于其年龄和源岩的证据. 地质论评, 47(3): 294-300 doi: 10.3321/j.issn:0371-5736.2001.03.012

     

    张宏飞, Harris N, Parrish R, 张利, 赵志丹, 李德威. 2005. 北喜马拉雅淡色花岗岩地球化学: 区域对比、岩石成因及其构造意义. 地球科学(中国地质大学学报), 30(3): 275-288 https://www.cnki.com.cn/Article/CJFDTOTAL-DQKX200503003.htm

  • 加载中

(12)

(3)

计量
  • 文章访问数: 
  • PDF下载数: 
  • 施引文献:  0
出版历程
收稿日期:  2021-06-30
修回日期:  2021-09-29
刊出日期:  2021-10-01

目录